Home Antiviral Plant Compound Database Ursolic acid

Ursolic acid

by impac.co.in

Indian Plant Antiviral Compound Database (IMPAC)

Indian Plant Antiviral Compound Description
InAVPCDB Accession Number AVD050
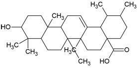
Compound Name Ursolic acid
Phytochemical category Pentacyclic triterpenoid
PubChem Id 64945
IUPAC Name(1S,2R,4aS,6aR,6aS,6bR,8aR,10S,12aR,14bS)-10-hydroxy-1,2,6a,6b,9,9,12a-heptamethyl-2,3,4,5,6,6a,7,8,8a,10,11,12,13,14b-tetradecahydro-1H-picene-4a-carboxylic acid
Molecular Formula C30H48O3
Canonical SMILES Notation CC1CCC2(CCC3(C(=CCC4C3(CCC5C4(CCC(C5(C)C)O)C)C)C2C1C)C)C(=O)O
Binomial Name Ocimum sanctum
Vernacular Names Thulasi/Tulsi/Holy Basil
Plant Part Leaf
Family Labiatae
Description Herpes simplex virus, Human papillomavirus, Human hepatitis C virus, Rotavirus, and Human immunodeficiency virus.?
Mechanism of action It hampers the early stages of the viral replication cycle, as a significant reduction in the number and size of viroplasms, consistent with a decrease in VP6 and NSP2 viral proteins.
Molecular weight 456.70 g/mol
XLOGP3 7.34
Num. H-bond acceptors 3
Num. H-bond donors 2
Rotatable bonds 1
Topological polar surface area 57.53 Ų
Bioavailability Score 0.85
Druglikeness Yes
Lipinski 1 violation
References Tohm? MJ, Gim?nez MC, Peralta A, Colombo MI, Delgui LR. Ursolic acid: A novel antiviral compound inhibiting rotavirus infection in vitro. International journal of antimicrobial agents. 2019 Nov 1;54(5):601-9.

You may also like