Home Antiviral Plant Compound Database Geraniin

Geraniin

by impac.co.in

Indian Plant Antiviral Compound Database (IMPAC)

Indian Plant Antiviral Compound Description
InAVPCDB Accession Number AVD024
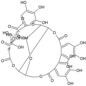
Compound Name Geraniin
Phytochemical category Flavanoid
PubChem Id 3001497
IUPAC Name[(1R,7R,8S,26R,28S,29R,38R)-1,13,14,15,18,19,20,34,35,39,39-undecahydroxy-2,5,10,23,31-pentaoxo-6,9,24,27,30,40-hexaoxaoctacyclo[34.3.1.04,38.07,26.08,29.011,16.017,22.032,37]tetraconta-3,11,13,15,17,19,21,32,34,36-decaen-28-yl] 3,4,5-trihydroxybenzoate
Molecular Formula C41H28O27
Canonical SMILES Notation C1C2C3C(C(C(O2)OC(=O)C4=CC(=C(C(=C4)O)O)O)OC(=O)C5=CC(=C(C6=C5C7C(=CC(=O)C(C7(O)O)(O6)O)C(=O)O3)O)O)OC(=O)C8=CC(=C(C(=C8C9=C(C(=C(C=C9C(=O)O1)O)O)O)O)O)O
Binomial Name Phyllanthus emblica
Vernacular Names Nellikai/Anwala/Amla
Plant Part Fruit
Family Phyllanthaceae
Description Enterovirus 71, Human immunodeficiency virus type 1, and SARS-CoV-2.
Mechanism of action It inhibts the viral replication by blocking the interacting tendancies of integrase, reverse transcriptase, and protease.
Molecular weight 952.64 g/mol
XLOGP3 -0.59
Num. H-bond acceptors 27
Num. H-bond donors 14
Rotatable bonds 3
Topological polar surface area 450.25 Ų
Bioavailability Score 0.17
Druglikeness No
Lipinski 3 violations
References Yang Y, Zhang L, Fan X, Qin C, Liu J. Antiviral effect of geraniin on human enterovirus 71 in vitro and in vivo. Bioorganic & medicinal chemistry letters. 2012 Mar 15;22(6):2209-11. Notka F, Meier G, Wagner R. Concerted inhibitory activities of Phyllanthus amarus on HIV replication in vitro and ex vivo. Antiviral research. 2004 Nov 1;64(2):93-102.

You may also like