Home Antiviral Plant Compound Database

Myricetin

by impac.co.in

Indian Plant Antiviral Compound Database (IMPAC)

Indian Plant Antiviral Compound Description
InAVPCDB Accession Number AVD037
Compound Name Myricetin
Phytochemical category Polyphenolic Flavonoid
PubChem Id 5281672
IUPAC Name3,5,7-trihydroxy-2-(3,4,5-trihydroxyphenyl)chromen-4-one
Molecular Formula C15H10O8
Canonical SMILES Notation C1=C(C=C(C(=C1O)O)O)C2=C(C(=O)C3=C(C=C(C=C3O2)O)O)O
Binomial Name Cochlospermum religiosum
Vernacular Names Kattuparutti/Konda gogu/Cempanni/Galgal/buttercup tree
Plant Part Leaf
Family Bixaceae
Description Human immunodeficiency virus, Influenza, Human papillomaviruses, and SARS-CoV-2.
Mechanism of action It inhibits the viral replication by targeting proteases and reverse transcriptase.
Molecular weight 318.24 g/mol
XLOGP3 1.18
Num. H-bond acceptors 8
Num. H-bond donors 6
Rotatable bonds 1
Topological polar surface area 151.59 Ų
Bioavailability Score 0.55
Druglikeness Yes
Lipinski 1 violation
References Pasetto S, Pardi V, Murata RM. Anti-HIV-1 activity of flavonoid myricetin on HIV-1 infection in a dual-chamber in vitro model. PLoS One. 2014 Dec 29;9(12):e115323.

Mulberroside C

by impac.co.in

Indian Plant Antiviral Compound Database (IMPAC)

Indian Plant Antiviral Compound Description
InAVPCDB Accession Number AVD036
Compound Name Mulberroside C
Phytochemical category Flavanoid
PubChem Id 190453
IUPAC Name(2S,3R,4S,5R)-2-[3-hydroxy-5-(6-hydroxy-7,7-dimethyl-5,6-dihydrofuro[3,2-g]chromen-2-yl)phenoxy]oxane-3,4,5-triol
Molecular Formula C24H26O9
Canonical SMILES Notation CC1(C(CC2=C(O1)C=C3C(=C2)C=C(O3)C4=CC(=CC(=C4)OC5C(C(C(CO5)O)O)O)O)O)C
Binomial Name Phyllanthus emblica
Vernacular Names Nellikai/Anwala/Amla
Plant Part Fruit
Family Phyllanthaceae
Description Enterovirus 71 (EV71) and Herpes viruses.
Mechanism of action It inhibits the early stages of viral replication by targeting viral capsid.
Molecular weight 486.68 g/mol
XLOGP3 1.54
Num. H-bond acceptors 9
Num. H-bond donors 5
Rotatable bonds 3
Topological polar surface area 141.98 Ų
Bioavailability Score 0.55
Druglikeness Yes
Lipinski 0 violation
References Cao Y, Lei E, Li L, Ren J, He X, Yang J, Wang S. Antiviral activity of Mulberroside C against enterovirus A71 in vitro and in vivo. European Journal of Pharmacology. 2021 May 26:174204. Du J, He ZD, Jiang RW, Ye WC, Xu HX, But PP. Antiviral flavonoids from the root bark of Morus alba L. Phytochemistry. 2003 Apr 1;62(8):1235-8.

Mimusopic acid

by impac.co.in

Indian Plant Antiviral Compound Database (IMPAC)

Indian Plant Antiviral Compound Description
InAVPCDB Accession Number AVD035
Compound Name Mimusopic acid
Phytochemical category Triterpene
PubChem Id 6712545
IUPAC Name(4aS,6aR,6bR,8aS,9R,10R,11S,14bS)-10,11-dihydroxy-9-(hydroxymethyl)-2,2,6a,6b,8a,9-hexamethyl-1,3,4,5,6,7,8,10,11,12,13,14b-dodecahydropicene-4a-carboxylic acid
Molecular Formula C30H46O5
Canonical SMILES Notation CC1(CCC2(CCC3(C(=CCC4=C5CC(C(C(C5(CCC43C)C)(C)CO)O)O)C2C1)C)C(=O)O)C
Binomial Name Phyllanthus emblica
Vernacular Names Nellikai/Anwala/Amla
Plant Part Fruit
Family Phyllanthaceae
Description Human immunodeficiency virus and SARS-CoV-2.
Mechanism of action It inhibts the reverse transcriptase activity.
Molecular weight 486.68 g/mol
XLOGP3 5.05
Num. H-bond acceptors 5
Num. H-bond donors 4
Rotatable bonds 2
Topological polar surface area 97.99 Ų
Bioavailability Score 0.56
Druglikeness Yes
Lipinski 0 violation
References Sahu NP. Triterpenoid saponins of Mimusops elengi. Phytochemistry. 1996 Feb 1;41(3):883-6. Sharma A, Vora J, Patel D, Sinha S, Jha PC, Shrivastava N. Identification of natural inhibitors against prime targets of SARS-CoV-2 using molecular docking, molecular dynamics simulation and MM-PBSA approaches. Journal of Biomolecular Structure and Dynamics. 2020 Nov 12:1-6.

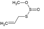
Methyl allyl thiosulfinate

by impac.co.in

Indian Plant Antiviral Compound Database (IMPAC)

Indian Plant Antiviral Compound Description
InAVPCDB Accession Number AVD034
Compound Name Methyl allyl thiosulfinate
Phytochemical category Thiosulfinate
PubChem Id 129712276
IUPAC Name3-methoxysulfinylsulfanylprop-1-ene
Molecular Formula C4H8O2S2
Canonical SMILES Notation COS(=O)SCC=C
Binomial Name Allium sativum
Vernacular Names Vellaipoondu/Lasan/Vellulli/garlic
Plant Part Shoot/Bulb
Family Alliaceae
Description Dengue virus, Herpes simplex virus type 1 and 2, Vaccinia virus, Vesicular stomatitis virus, Parainfluenza, and Human rhinovirus type 2.
Mechanism of action It interferes with the glycans on the spike during viral entry, release; inhibits viral adsoprtion and penetration; It is a TNF-? inhibitor, Immunomodulatory and antiinflammatory agent
Molecular weight 152.24 g/mol
XLOGP3 0.97
Num. H-bond acceptors 2
Num. H-bond donors 0
Rotatable bonds 4
Topological polar surface area 70.81 Ų
Bioavailability Score 0.55
Druglikeness Yes
Lipinski 0 violation
References Shoji S, Furuishi K, Yanase R, Miyazaka T, Kino M. Allyl compounds selectively killed human immunodeficiency virus (type 1)-infected cells. Biochemical and biophysical esearch communications. 1993 Jul 30;194(2):610-21. Hall A, Troupin A, Londono-Renteria B, Colpitts TM. Garlic organosulfur compounds reduce inflammation and oxidative stress during dengue virus infection. Viruses. 2017 Jul;9(7):159.

Menthol

by impac.co.in

Indian Plant Antiviral Compound Database (IMPAC)

Indian Plant Antiviral Compound Description
InAVPCDB Accession Number AVD033
Compound Name Menthol
Phytochemical category Phenolic monoterpenoid
PubChem Id 1254
IUPAC Name5-methyl-2-propan-2-ylcyclohexan-1-ol
Molecular Formula C10H20O
Canonical SMILES Notation CC1CCC(C(C1)O)C(C)C
Binomial Name Mentha piperita
Vernacular Names Pudina/Peppermint
Plant Part Leaf
Family Lamiaceae
Description Influenza A, Coxsackievirus B, Newcastle disease, Herpes simplex, Vaccinia, Semliki Forest and West Nile viruses
Mechanism of action It stimulates TRPM8 blocks TRPV1-mediated mitochondrial fragmentation following viral exposure and attenuates infection.
Molecular weight 156.27 g/mol
XLOGP3 3.4
Num. H-bond acceptors 1
Num. H-bond donors 1
Rotatable bonds 1
Topological polar surface area 20.23 Ų
Bioavailability Score 0.55
Druglikeness Yes
Lipinski 0 violation
References Taylor DJ, Hamid SM, Andres AM, Saadaeijahromi H, Piplani H, Germano JF, Song Y, Sawaged S, Feuer R, Pandol SJ, Sin J. Antiviral effects of menthol on Coxsackievirus B. Viruses. 2020 Apr;12(4):373. Singh R, Shushni MA, Belkheir A. Antibacterial and antioxidant activities of Mentha piperita L. Arabian Journal of Chemistry. 2015 May 1;8(3):322-8.

Lupeol

by impac.co.in

Indian Plant Antiviral Compound Database (IMPAC)

Indian Plant Antiviral Compound Description
InAVPCDB Accession Number AVD032
Compound Name Lupeol
Phytochemical category Triterpenoid
PubChem Id 259846
IUPAC Name(1R,3aR,5aR,5bR,7aR,9S,11aR,11bR,13aR,13bR)-3a,5a,5b,8,8,11a-hexamethyl-1-prop-1-en-2-yl-1,2,3,4,5,6,7,7a,9,10,11,11b,12,13,13a,13b-hexadecahydrocyclopenta[a]chrysen-9-ol
Molecular Formula C30H50O
Canonical SMILES Notation CC(=C)C1CCC2(C1C3CCC4C5(CCC(C(C5CCC4(C3(CC2)C)C)(C)C)O)C)C
Binomial Name Decalepis hamiltonii
Vernacular Names Mahali kizhangu/Nannari kommulu/Mahannikizhangu
Plant Part Tuber
Family Apocynaceae
Description Dengue virus, Herpes virus, Ranikhet disease, Encephalomyocarditis, Semiliki Forest virus, and SARS-CoV-2 virus.
Mechanism of action It works by modulating the expression or activity of several molecules such as cytokines IL-2, IL4, IL5, IL?, proteases, ?-glucosidase, cFLIP, Bcl-2 and NF?B
Molecular weight 426.72 g/mol
XLOGP3 9.87
Num. H-bond acceptors 1
Num. H-bond donors 1
Rotatable bonds 1
Topological polar surface area 20.23 Ų
Bioavailability Score 0.55
Druglikeness No
Lipinski 1 violation
References Silva FC, Rodrigues VG, Duarte LP, Lula IS, Sinisterra RD, Vieira-Filho SA, Rodrigues RA, Kroon EG, Oliveira PL, Farias LM, Magalhaes PP. Antidiarrheal activity of extracts from Maytenus gonoclada and inhibition of Dengue virus by lupeol. Anais da Academia Brasileira de Ci?ncias. 2017 Jul;89:1555-64. Tolo FM, Rukunga GW, Muli FW, Ochora JM, Irungu BN, Muthaura CN, Wanjiku CK, Mungai GM, Ngoc Q, Hashimoto K, Asakawa Y. The antiviral activity of compounds isolated from Kenyan Carissa edulis (Forssk.) Vahl. Journal of Medicinal Plants Research. 2010 Aug 4;4(15):1517-22.

Kaempferol

by impac.co.in

Indian Plant Antiviral Compound Database (IMPAC)

Indian Plant Antiviral Compound Description
InAVPCDB Accession Number AVD031
Compound Name Kaempferol
Phytochemical category Flavonoid
PubChem Id 5280863
IUPAC Name3,5,7-trihydroxy-2-(4-hydroxyphenyl)chromen-4-one
Molecular Formula C15H10O6
Canonical SMILES Notation C1=CC(=CC=C1C2=C(C(=O)C3=C(C=C(C=C3O2)O)O)O)O
Binomial Name Coccinia grandis
Vernacular Names kovakkai/Dhondakai/Kunduru/Tindora/Ivy gourd
Plant Part Fruit
Family Cucurbitaceae
Description Human cytomegalovirus, HIV, SARS-CoV-2, Japanese encephalitis virus, Dengue virus, and other Flaviviruses.
Mechanism of action It disrupts HIV-1 replication in the early stages of infection; inhibits reverse transcriptase and proteases.
Molecular weight 286.24 g/mol
XLOGP3 1.9
Num. H-bond acceptors 6
Num. H-bond donors 4
Rotatable bonds 1
Topological polar surface area 111.13 Ų
Bioavailability Score 0.55
Druglikeness Yes
Lipinski 0 violation
References Behbahani M, Sayedipour S, Pourazar A, Shanehsazzadeh M. In vitro anti-HIV-1 activities of kaempferol and kaempferol-7-O-glucoside isolated from Securigera securidaca. Research in pharmaceutical sciences. 2014 Nov;9(6):463.
Newer Posts
Older Posts